电话:13930150169
气体玻璃管浮子流量计(以下简称“浮子流量计")使用简单,读数直观,被广泛地用在电力、石化化工、冶金、医药、环境监测及科研教学等诸多领域。然而,气体浮子流量计是一种非标准化仪表,根据其测量原理,应按实际被测介质和工作状态进行刻度,但生产厂家为了批量生产,一般都是在压力p=101325Pa、温度T=293K(20℃)的状态下用空气进行标定的,使得浮子流量计的指示值读数与被测介质的实际流量之间存在着一定的误差,因而需要对原有的指示值加以校正。但要注意的是,绝大多数生产厂家都是在压力p=101325Pa、温度T=293K(20℃)的状态即标准状态下用空气对浮子流量计进行标定的,只有个别生产厂家是在非标准状态下进行标定的。因此,在检定和使用时就应留意生产厂家在流量计上所标注的标定状态,以免在修正时发生错误。.
1刻度示值修正
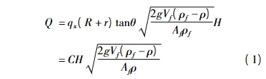
1.1浮子流量计的基本流量方程式
浮子流量计的结构和工作原理如图1所示,由.其工作原理可以得出流量基本方程式为:

式中:Q为被测介质的体积流量;qs为介质的.质量流量;R为玻璃管内截面半径;r为浮子截面半径;θ为玻璃管内侧壁的倾斜角度;C为仪表常数,与流体的流动形态和转子的形状等因素有关;Vƒ为浮子体积;Aƒ为转子的最大截面积;g为重力加速度;ρƒ为转子的密度;ρ为被测介质的密度;H为转子停留的高度。

对于测量气体来说,于ρƒ》ρ,所以ρƒ-ρ≈ρƒ°因而式(1)可改写为:

1.2浮子流量计的刻度示值
如前所述,用于测量气体流量的浮子流量计是在标准状态(压力p=101325Pa、温度T=293K)下用空气进行标定刻度的,由式(2)可得出标准状态下流量方程式为:

式中:Q0为标准状态下空气的体积流量,即刻度示值;ρ0为标准状态下空气的密度。
1.3刻度示值的密度修正
在标准状态下,当被测介质为非空气气体时,虽然实际的工作状态和标准状态相同,但被测介质的密度不同于空气,必须对流量计的示值加以修正。由式(2)可得出被测介质在标准状态下的流量方程式为:

Qt为标准状态下被测介质的体积流量;ρ1为标准状态下被测介质的密度。
式(4)除以式(3)可以得出:

1.4刻度示值受温度、压仂影响的修正
在绝大多数情况下,实际测量的工作条件不同于浮子流量计标定时的标准状态,即使测量介质相同,由于空气的密度受温度、压力影响变化较大,所以也必须对其流量示值进行温度和压力修正(其实质仍是对密度进行修正),由式(2)可得出工作状态下流量方程式为:

的绝对温度;Po为标准状态下的压力;T0为标准状态下的绝对温度。
一般情况下,流量大小都依标准状态为基准,所以,应将工作状态下的流量值折算为标准状态下的流量值,折算后为:

式中:Q2为在操作状态下空气的体积流量换算为标准状态下的体积流量。
1.5同时对密度、温度和压力进行修正
当被测介质为非空气气体时,就需要对密度、温度和压力同时进行修正,同样用前面所述的推导方法,可以得出:

总结:
上述经理论推导所得的式(5)、式(12)、式(14)三个修正公式均可用于浮子流量计的气体流量修正,使用时可根据已知状态的物理量和所要求状态的被测介质流量任选一个校正公式进行计算,都可以得到准确的计算结果。关键问题是修正公式在使用时应特别注意弄清楚各个物理量的使用状态,即标准状态(p0T0)、操作状态(p1T1),否则会增大浮子流量计的示值误差。
